Ermittlung des Leiterquerschnitts
Informationen zur Auswahl der richtigen Leitung.
Zur Dimensionierung bzw. Auswahl der richtigen Leitung ist der Querschnitt eine weitere wichtige Größe. Er muss für die im Netz maximal auftretende Betriebsstromstärke dimensioniert sein und kann mit Hilfe von Tabellen festgelegt werden, aus denen hervorgeht, bei
welcher Verlegeart welcher Querschnitt mit bis zu welchem Strom belastbar ist.
Außerdem kann bei Wechselstrom (und Drehstrom) aus der Formel für den zulässigen Spannungsfall der dann benötigte Leiterquerschnitt errechnet werden. Bei bekannter Spannung, bekanntem Bemessungsstrom, bekannter Leitungslänge und dem vorgeschriebenen maximalen Spannungsfall
(z.B. 3% in Endstromkreisen) lässt sich dieser rechnerisch bestimmen. Das Ergebnis ist der minimale Leiterquerschnitt. Es muss zum nächst größeren verfügbaren Querschnitt (Nennquerschnitt) aufgerundet werden.
Auswahl des Leitungsquerschnittes nach der Strombelastbarkeit: (und Bestimmung des Nennstromes des Überstromschutzorganes)
Leitungen müssen für den maximal auftretenden Strom ausgelegt werden. Jede Leitung hat abhängig von Material, Länge und Querschnitt einen unterschiedlichen elektrischen Widerstand (hier), der bei Stromfluss zur Erwärmung des Leiters führt. Die Erwärmung darf einen zulässigen Wert nicht überschreiten, daher ist ein genügend großer Leiterquerschnitt zu wählen:
1. Betriebsstromstärke/Belastungsstromstärke I B bestimmen.
2. Bestimmen der Verlegeart (A1, A2, B1, B2, C, E, F, G)
3. Zahl der belasteten Adern ermitteln. (Anzahl der Adern, die Strom führen, das sind 3 bei einem symmetrischen Drehstromsystem oder 2 bei einem einphasigen Wechselstromsystem)
Aus Tabelle „Verlegearten und Strombelastbarkeit von Kabeln und Leitungen“ (z.B. aus Tabellenbuch),

diese sollte für eine Umgebungstemperatur von 25°C gelten, da dies die in Deutschland anzunehmende Temperatur bei Standardbedingungen ist:
4. Auswählen der Strombelastbarkeit der Leitung Ir unter idealen Bedingungen aus der passenden Spalte für die festgestellte Verlegeart (2.) und für die Anzahl der belasteten Adern. Ir ist der nächst größere Wert von IB .
Beispiel: wurde IB zu 22 A bei Verlegeart A1 und 2 belasteten Adern ermittelt, so beträgt Ir = 28 A.
5. Falls keine idealen Bedingungen vorliegen, müssen für die tatsächliche Strombelastbarkeit der Leitung die entsprechenden Einflussfaktoren (f1 bis f4) berücksichtigt werden, diese führen zu weiterer Erwärmung der Leitungen und damit zu verminderter Strombelastbarkeit Iz:
IZ = I r * f1 * f2 * f3 * f4
Die Einflussfaktoren, auch Formfaktoren genannt, sind:
f1- abweichende Umgebungstemperatur
f2- gehäufte Leitungsverlegung
f3- Zahl aller belasteten Adern (incl. weiterer Verbraucher)
f4- Auswirkungen von Oberschwingungen
Die Formfaktoren werden entsprechenden Tabellen z.B. aus Tabellenbuch entnommen.
Beispiel:
- Umgebungstemperatur 30°C => f1 = 0,94,
- eine zweite mehradrige Leitung bei Verlegung im Installationskanal => f2 = 0,8
- 2 Adern werden belastet => f3 = 1,0
- 20% Leistungsanteil in W von Verbrauchern mit Oberschwingungen => f4 = 0,86
Für das Beispiel ergibt sich Iz zu: IZ = 28 A * 0,94 * 0,8 * 1 * 0,86 = 18,11 A
Nun muss geprüft werden, ob der gewählte Leiterquerschnitt noch ausreicht, also ob IB ≤ IZ. Ist dies nicht der Fall ist der nächsthöhere Querschnitt aus der Tabelle „Verlegearten …“ zu wählen und zu überprüfen ob nun IB ≤ IZ erfüllt ist. Falls dies dann noch immer nicht der Fall ist, muss der Querschnitt weiter erhöht werden bis die Bedingung erfüllt ist.
Beispiel:
Der Betriebsstrom, den die Leitung führen soll (s.1.) ist mit IB= 22 A höher als IZ = 18,11 A. Also ist der nächsthöhere Leiterquerschnitt qn = 6 mm² zu wählen und zu prüfen:
Bei qn = 6 mm² ist Ir = 36 A. Damit wird Iz = 36 A * 0,94 * 0,8 * 0,75 * 0,86 = 23,28 A.
IB ≤ IZ d.h. 22 A ≤ 23,28 A ist also für 6 mm² erfüllt.
6. Der resultierende Leiterquerschnitt (bei Kupfer) aus der gleichen Tabelle ausgewählt werden; für obiges Beispiel qn = 4 mm²
7. Ist der Querschnitt der Leitung final bestimmt, kann der Nennstrom In des Überstromschutzorganes der Leitung gemäß der Tabelle ausgewählt werden. Es muss gelten IB ≤ In ≤ IZ. Für obiges Beispiel ergibt sich In = 25 A.
Hier gibt es einen automatischen Leiterquerschnitt-Berechner:
Trotz hinreichender Tests können Fehler nicht ausgeschlossen werden. Dieser Rechner ist nur für theoretische Übungszwecke gedacht. Für etwaige Schäden kann vom Betreiber der Website deshalb keine Haftung übernommen werden!
| Aderzahl | ||
| IB | A (Anstelle Komma Punkt eingeben!) | |
| Umgebungstemperatur | ||
| Verlegung (f 2) | ||
| Anzahl mehradriger Leitungen | ||
| Verlegeart |
IZ= 0
Optimaler Querschnitt: 0
Überprüfung des Leitungsquerschnittes nach dem Spannungsfall:
8. Ob der nun gefundene Querschnitt tatsächlich gewählt werden kann oder nochmals vergrößert werden muss, ist mit der Überprüfung des zulässigen Spannungsfalles ΔU zu ermitteln. Muss qn daraufhin vergrößert werden, so ist entsprechend das Überstromschutzorgan zu wählen (7.).
Die Überprüfung des Spannungsfalles wird nachfolgend anhand von drei verschiedenen Beispielen demonstriert.
Eine Maschine wird durch einen einphasigen Asynchronmotor betrieben und der Motor hat die gegebenen Nenndaten. Außerdem sind die maximale Leitungslänge von 34 m sowie ein Spannungsfall von maximal 3% bekannt.
Welcher Leiterquerschnitt q (in mm2) ergibt sich, wenn als Leitungsmaterial Kupfer verwendet wird?
| Gegeben: | Gesucht: |
| - P = 1100 W | - q in mm² |
| - U = 230 V | |
| - I = 16 A | |
| - cos φ = 0,9 | |
| - l = 34 m | |
| - delta U ≤ 3 % |
Die elektrische Leitfähigkeit κ für Kupfer von 56 m/(Ω * mm²) ist gegeben.
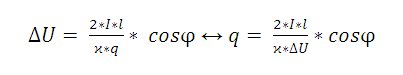
Zuerst muss die Formel für den Spannungsfall im Einphasen-Wechselstromsystem so umgestellt werden, dass der Querschnitt errechnet werden kann.

In die umgestellte Formel können nun die gegebenen Werte eingesetzt und der Querschnitt berechnet werden.

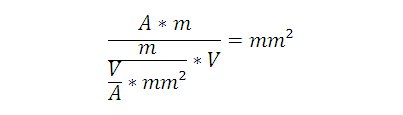
Da 2,534 mm2 kein Normdurchmesser ist, wird auf den nächst größeren Durchmesser aufgerundet. In unserem Fall wären dies 4 mm2. Bei einer Verringerung des Querschnitts auf 2,5 mm2 wäre der Grenzwert für den Spannungsfall nicht eingehalten und somit die Leitung falsch dimensioniert. Um unser Ergebnis zu überprüfen, führen wir eine Einheitenprüfung durch.

Beim Formelcheck zeigt sich, dass alle SI-Einheiten außer mm2 weggekürzt werden können.
Rechnung Nr. 2
Der Motor M1 ist an eine 80m lange Zuleitung (NYM 4 x 2,5 mm2) angeschlossen. Der nach DIN VDE 18015 zulässige maximale Spannungsfall von 3% darf nicht
überschritten werden. Gegeben ist das Motortypenschild von M1.

Ist der Querschnitt der Zuleitung für den Motor bei einem Spannungsfall nach DIN VDE 18015 zulässig? Überprüfen Sie die Dimensionierung.
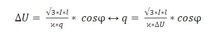
Zu Beginn der Rechnung muss, wie im Beispiel zuvor, die Formel für den Spannungsfall im Drehstromsystem umgestellt werden.

In die umgestellte Formel können nun wieder die gegebenen Werte einsetzt und der Querschnitt berechnet werden.

Der berechnete Querschnitt q = 2.541 mm2 ist größer als der Querschnitt der Zuleitung, damit ist die NYM (4 x 2,5 mm2) nicht für den Anschluss unter diesen Bedingungen geeignet.
Die Einheitenkontrolle läuft analog zur Rechnung 1.
Rechnung Nr. 3
Als nächstes führen wir die Berechnung für einen Gleichstrommotor durch. Gegeben ist das Typenschild des Gleichstrommotors M2.
Es soll eine Leitung mit Kupfer als Leitungsmaterial bestellt werden. Dimensionieren Sie den Querschnitt der Leitung, wenn die Zuleitung eine Länge von 10m hat. Der maximale Spannungsfall nach DIN VDE 18015 darf nicht überschritten werden.
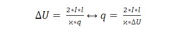
Zu Beginn stellen wir, wie auch in den Beispielen zuvor, die Formel für den Spannungsfall so um, dass der Querschnitt bestimmt werden kann.

In die umgestellte Formel können, wie zuvor, die gegebenen Werte einsetzt werden. Diese entnimmt man dem Motortypenschild M2 sowie der Aufgabenbeschreibung oder dem Tabellenbuch.

Bei einem berechneten Querschnitt von 1,812 mm2 ist wieder der nächst größere Querschnitt von 2,5 mm2 zu wählen.